欢迎访问英国威廉希尔公司!
员工动态
员工动态
当前位置: 公司首页 >> 员工动态 >> 员工动态 >> 正文

公司硕士研究生彭玉全在园艺学领域国际期刊上发表研究论文

作者:    发布:2020-06-05 11:38    点击量:

近日,英国威廉希尔公司17硕士研究生彭玉全以第一作者Scientia Horticulturae杂志发表题为Effects of grafting on root growth, anaerobic respiration enzyme activity and aerenchyma of bitter melon under waterlogging stress 的研究论文(图1,通讯作者为该生导师朱进教授。

1 论文封面

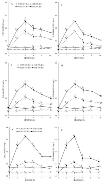
苦瓜营养丰富,药用价值高,但喜湿怕涝,在生长期间如遇较长时间的涝渍灾害时,植株极易死亡。丝瓜根系发达,是瓜类蔬菜中最耐渍的种类,以丝瓜作砧木嫁接苦瓜可提高苦瓜的耐涝性,从而提高产量。该研究以丝瓜为砧木,探究了嫁接苦瓜对淹水胁迫耐性的强弱及其根系对淹水胁迫的形态和生理响应机制。结果表明嫁接提高苦瓜对淹水胁迫的耐性的原因主要是因为:一方面嫁接苦瓜通过提高主根和不定根的无氧呼吸酶活性来应激淹水胁迫(图2,另一方面嫁接苦瓜形成大量不定根,通过产生发达的通气组织来适应淹水胁迫(图3。上述结果不仅对于丰富植物的耐涝性研究具有重要的理论价值,而且对于苦瓜高产稳产以及安全生产具有重要的现实指导意义。

 

2 淹水胁迫下嫁接苦瓜的无氧呼吸酶活性

 

3 淹水胁迫下嫁接苦瓜不定根的通气组织